弹珠台游戏
杨志峰院士团队冯景春教授课题组在Environmental Science & Technology上发表了题为:“Effects of Different Types of Microplastics on Cold Seep Microbial Diversity and Function.”的研究论文。该研究揭示了微塑料对深海冷泉微生物多样性和群落功能的影响,旨在为制定有效的微塑料污染管控和深海冷泉生态系统保护策略提供科学依据。

(1)引言
塑料是海洋碎片中最多的种类。截至2022年,每年超过1200万吨塑料汇入海洋中。接近70%塑料沉积到海床,可以解释汇入海洋的塑料数量丰度与漂浮在海表的数量丰度有显著差异的问题。海洋塑料在迁移过程中逐渐破碎,尺寸逐渐变小。小于5mm的塑料称为微塑料。微塑料尺寸越小,比表面积越大,吸附与解吸的生态风险越大。已有研究报道,深海冷泉生态系统存在微塑料。冷泉是独特且脆弱的海底生态系统,有富含甲烷的流体释放到水柱中。低温,高压,黑暗等环境条件塑造了特殊的化能合成生态系统,包含多样的微生物群落、独特基因资源,还有丰富的清洁能源,例如甲烷水合物。有研究报道微塑料的存在通过影响微生物组成和功能干扰了生态系统,并有可能改变生态系统平衡以及降低了冷泉系统的甲烷转化效率。因此,冷泉微塑料的日益累积及其生态效应是重要的研究热点。
可生物降解塑料代表了减少深海底部塑料垃圾扩散的一个有前景的途径。与石油基塑料相比,可生物降解塑料具有较低的碳足迹和优良的材料特性。2022年,全球约有114万吨可生物降解塑料废物。可生物降解塑料在海洋环境中的降解速率取决于其组成以及沉积环境。微塑料可以改变沉积物中的氮循环过程。然而,目前关于石油基塑料和可生物降解塑料对深海冷泉环境中生物地球化学循环过程的影响差异研究甚少。
疏水性微塑料进到水环境之后,会快速释放有机化学物质,这为微生物提供了更好的营养物质来源,其表面性质会快速发生变化为微生物附着提供良好环境,使得在流体环境中具有更高的稳定性和群落互动性。随着时间推移,成熟和稳定的生物膜在微塑料表面形成,即为塑料际。最新的研究表明,塑料际与在周围水体的悬浮微生物群落结构显著不同。冷泉孕育了丰富且特殊的微生物,例如硫酸盐还原菌和甲烷厌氧菌,它们消耗大约90%的海底甲烷,是深海甲烷的天然屏障。据报道,甲烷流体可以造成微塑料破碎并促进老化,增加微塑料表面的含氧官能团。含氧官能团可以作为电子供体或受体,吸引微生物定殖在微塑料表面。因此,冷泉微塑料具有更高的比表面积,相比非渗漏区的微塑料其生物可利用性更高。塑料际比自然环境中的群落有更大的异质性。然而,典型的冷泉微生物是否影响塑料际是未知的。综上所述,微塑料及塑料际会影响生物地球化学循环,随着深海微塑料的累积,探索微塑料对冷泉区的甲烷代谢的影响至关重要。
(2)文字摘要
塑料的大量生产和广泛使用导致了海洋微塑料污染日益严重。深海冷泉生态系统富含源自海底渗漏的碳氢化合物流体,在碳循环和氮循环相关的微生物的作用下维持生态系统稳定。目前冷泉生态系统的微塑料污染鲜有研究。为了填补这一知识空白,我们收集了海马冷泉区的沉积物和海水样品,模拟深海冷泉环境,进行为期两个月的实验室培养实验。主要结论是:(1)当微塑料被添加到沉积物和海水介质中,微生物群落主要受原始环境的影响;塑料际群落与培养时间有关。(2)与环境介质中的微生物群落相比,塑料际的共现网络结构更脆弱。(3)多种环境因子决定了微生物群落组成,然而由少量的环境变量驱动微生物群落功能。
(3)成果简介

图1.(a)-(d)渗漏区微生物alpha多样性;(e)-(h)非渗漏区微生物alpha多样性;(i)展示渗漏区海水、沉积物和塑料际中门级别的独有和共有物种的二分关联网络图;(j)展示在不同的栖息环境中门级别独有和共有物种的数量丰度的柱状图;(k)在纲级别物种相对丰度前20的物种组成柱状图,如果渗漏区纲级别的物种丰度显著高于非渗漏区,橙色表示,如果低于,则用绿色表示。用env和pla区分环境和塑料际的微生物群落,用sed和sea区分沉积物和海水。

图2.表示在科级水平微生物群落与环境参数的相关性的tb-RDA图。(a)沉积物;(b)海水;(c)沉积物塑料际;(d)海水塑料际。

图3.(a)海水环境和塑料际的共现网络随时间的演替;(b)沉积物环境和塑料际的共现网络随时间的演替;(c)环境和塑料际微生物共现网络的拓扑参数。不同颜色表示不同的栖息环境,分别有黄色(沉积物)、红色(沉积物塑料际)、绿色(海水)、蓝色(海水塑料际)。

图4.基于PICRUSt2预测的群落功能与环境参数的Mantel test分析。(a)沉积物;(b)海水。

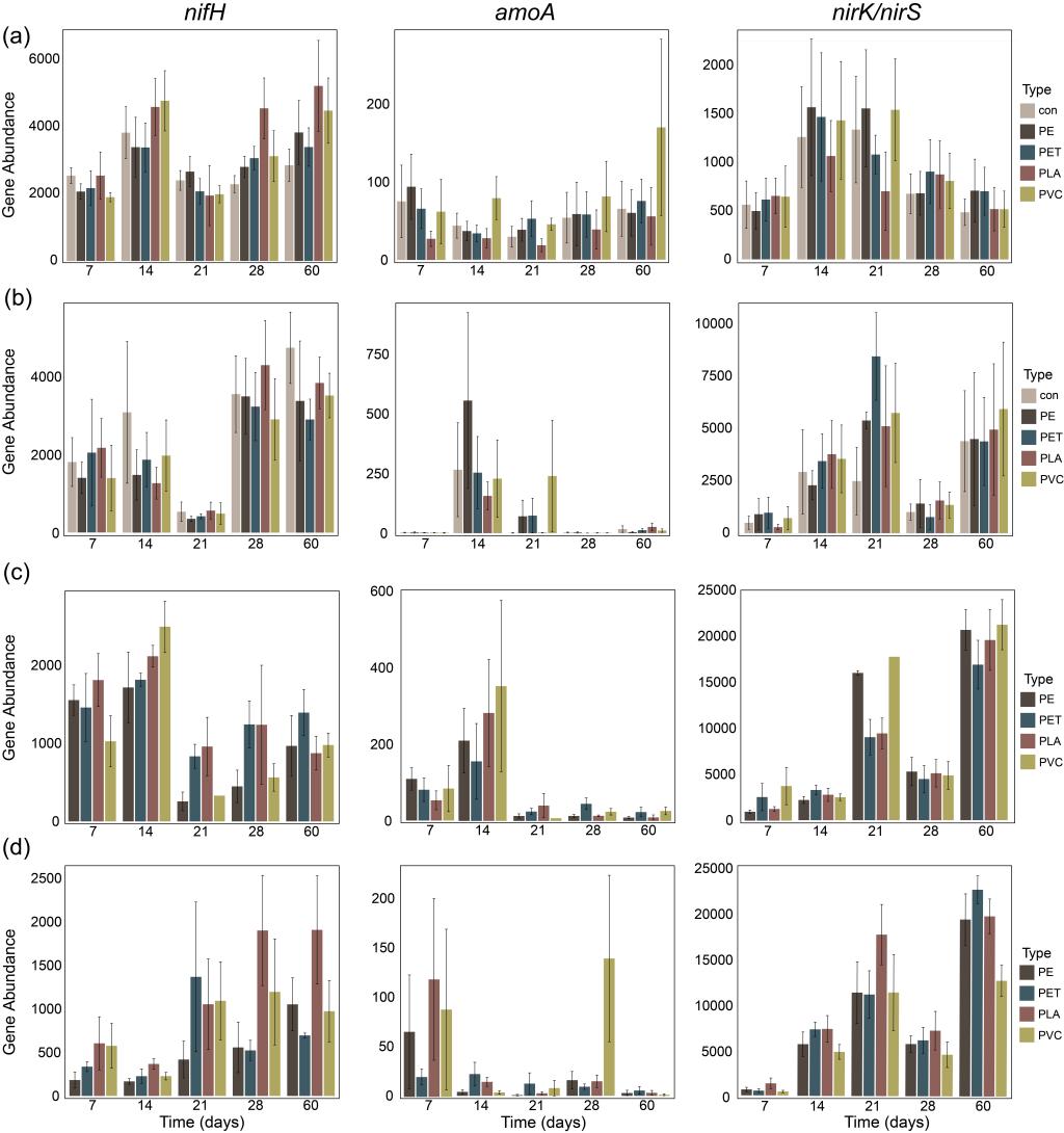
图5.添加不同塑料在沉积物(a)、海水(b)、塑料际(c)中,氮固定、硝化、反硝化基因丰度差异柱状图。
原文链接://doi.org/10.1021/acs.est.4c08102